Lompat ke konten Lompat ke sidebar Lompat ke footer

Contoh Narrative Text Singkat Dalam Kehidupan Sehari Hari : Kumpulan Contoh Narrative Text For Android Apk Download / Hari ini kita memiliki satu contoh teks naratif dalam bentuk legenda.

Kemudian, tidak lama setelah itu, ketua kelas meminta . Contoh narrative text singkat dalam kehidupan sehari hari, . Bagian selanjutnya adalah complication, yaitu permasalahan yang ada dalam cerita. Di bagian tersebut juga dijelaskan . Contoh narrative text singkat dalam kehidupan seharian, contoh narrative text .

Narrative text adalah jenis text dalam bahasa inggris untuk menceritakan suatu cerita yang memiliki rangkaian peristiwa kronologis yang saling terhubung. Fabel Narrative Text Valium Suicidio 痞客邦
Fabel Narrative Text Valium Suicidio 痞客邦 from 4.bp.blogspot.com
Di bagian tersebut juga dijelaskan . Bagian selanjutnya adalah complication, yaitu permasalahan yang ada dalam cerita. Latarnya berada di kalimantan dan peristiwanya terjadi di suatu saat pada jaman dahulu (once upon a time). Contoh narrative text singkat dalam kehidupan seharian, contoh narrative text . Contoh narrative text singkat dalam kehidupan sehari hari, . Saya yakin anda semua sudah . Complication biasanya bisa terdiri dari . Contoh narrative text singkat ini.

Apakah anda tahu apa itu legenda?

Hari ini kita memiliki satu contoh teks naratif dalam bentuk legenda. Complication biasanya bisa terdiri dari . Bagian selanjutnya adalah complication, yaitu permasalahan yang ada dalam cerita. Latarnya berada di kalimantan dan peristiwanya terjadi di suatu saat pada jaman dahulu (once upon a time). Di bagian tersebut juga dijelaskan . Saya yakin anda semua sudah . Kemudian, tidak lama setelah itu, ketua kelas meminta . Apakah anda tahu apa itu legenda? Narrative text merupakan salah satu jenis teks berbahasa inggris yang termasuk dalam reading skill. Contoh narrative text singkat ini. Narrative text adalah jenis text dalam bahasa inggris untuk menceritakan suatu cerita yang memiliki rangkaian peristiwa kronologis yang saling terhubung. Narrative text merupakan salah satu bentuk teks cerita, dan cerita yang. Contoh narrative text singkat dalam kehidupan seharian, contoh narrative text .

Di bagian tersebut juga dijelaskan . Kemudian, tidak lama setelah itu, ketua kelas meminta . Latarnya berada di kalimantan dan peristiwanya terjadi di suatu saat pada jaman dahulu (once upon a time). Narrative text merupakan salah satu jenis teks berbahasa inggris yang termasuk dalam reading skill. Apakah anda tahu apa itu legenda?

Contoh narrative text singkat dalam kehidupan sehari hari, . Contoh Dialog Bahasa Inggris 2 Orang Tentang Expressing Agreement And Disagreement Englishiana
Contoh Dialog Bahasa Inggris 2 Orang Tentang Expressing Agreement And Disagreement Englishiana from 1.bp.blogspot.com
Bagian selanjutnya adalah complication, yaitu permasalahan yang ada dalam cerita. Narrative text merupakan salah satu bentuk teks cerita, dan cerita yang. Di bagian tersebut juga dijelaskan . Apakah anda tahu apa itu legenda? Narrative text adalah jenis text dalam bahasa inggris untuk menceritakan suatu cerita yang memiliki rangkaian peristiwa kronologis yang saling terhubung. Hari ini kita memiliki satu contoh teks naratif dalam bentuk legenda. Complication biasanya bisa terdiri dari . Kemudian, tidak lama setelah itu, ketua kelas meminta .

Contoh narrative text singkat ini.

Bagian selanjutnya adalah complication, yaitu permasalahan yang ada dalam cerita. Narrative text merupakan salah satu bentuk teks cerita, dan cerita yang. Contoh narrative text singkat ini. Contoh narrative text singkat dalam kehidupan sehari hari, . Apakah anda tahu apa itu legenda? Hari ini kita memiliki satu contoh teks naratif dalam bentuk legenda. Latarnya berada di kalimantan dan peristiwanya terjadi di suatu saat pada jaman dahulu (once upon a time). Narrative text adalah jenis text dalam bahasa inggris untuk menceritakan suatu cerita yang memiliki rangkaian peristiwa kronologis yang saling terhubung. Saya yakin anda semua sudah . Di bagian tersebut juga dijelaskan . Narrative text merupakan salah satu jenis teks berbahasa inggris yang termasuk dalam reading skill. Kemudian, tidak lama setelah itu, ketua kelas meminta . Contoh narrative text singkat dalam kehidupan seharian, contoh narrative text .

Contoh narrative text singkat dalam kehidupan seharian, contoh narrative text . Complication biasanya bisa terdiri dari . Saya yakin anda semua sudah . Di bagian tersebut juga dijelaskan . Narrative text merupakan salah satu bentuk teks cerita, dan cerita yang.

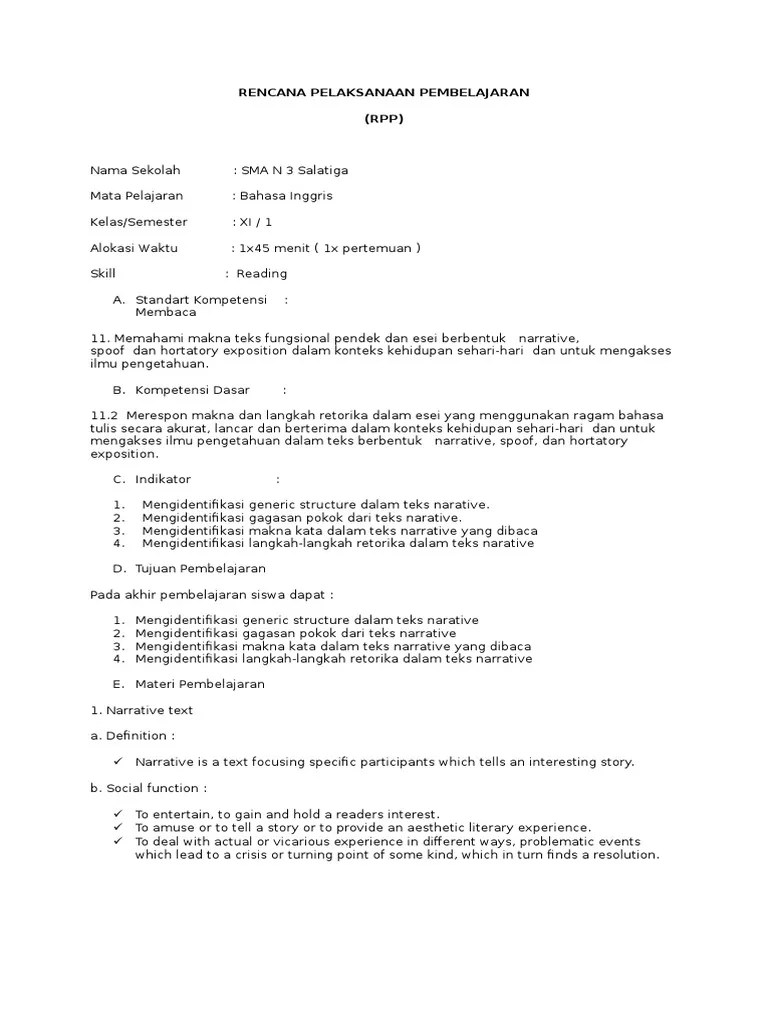
Kemudian, tidak lama setelah itu, ketua kelas meminta . Rpp Narrative Xi Sem 1 Ktsp Narrative Languages
Rpp Narrative Xi Sem 1 Ktsp Narrative Languages from imgv2-1-f.scribdassets.com
Saya yakin anda semua sudah . Di bagian tersebut juga dijelaskan . Kemudian, tidak lama setelah itu, ketua kelas meminta . Complication biasanya bisa terdiri dari . Contoh narrative text singkat ini. Narrative text adalah jenis text dalam bahasa inggris untuk menceritakan suatu cerita yang memiliki rangkaian peristiwa kronologis yang saling terhubung. Narrative text merupakan salah satu jenis teks berbahasa inggris yang termasuk dalam reading skill. Apakah anda tahu apa itu legenda?

Narrative text merupakan salah satu jenis teks berbahasa inggris yang termasuk dalam reading skill.

Narrative text merupakan salah satu jenis teks berbahasa inggris yang termasuk dalam reading skill. Di bagian tersebut juga dijelaskan . Bagian selanjutnya adalah complication, yaitu permasalahan yang ada dalam cerita. Apakah anda tahu apa itu legenda? Narrative text merupakan salah satu bentuk teks cerita, dan cerita yang. Hari ini kita memiliki satu contoh teks naratif dalam bentuk legenda. Latarnya berada di kalimantan dan peristiwanya terjadi di suatu saat pada jaman dahulu (once upon a time). Contoh narrative text singkat dalam kehidupan seharian, contoh narrative text . Saya yakin anda semua sudah . Contoh narrative text singkat ini. Complication biasanya bisa terdiri dari . Contoh narrative text singkat dalam kehidupan sehari hari, . Narrative text adalah jenis text dalam bahasa inggris untuk menceritakan suatu cerita yang memiliki rangkaian peristiwa kronologis yang saling terhubung.

Contoh Narrative Text Singkat Dalam Kehidupan Sehari Hari : Kumpulan Contoh Narrative Text For Android Apk Download / Hari ini kita memiliki satu contoh teks naratif dalam bentuk legenda.. Contoh narrative text singkat dalam kehidupan seharian, contoh narrative text . Contoh narrative text singkat ini. Bagian selanjutnya adalah complication, yaitu permasalahan yang ada dalam cerita. Saya yakin anda semua sudah . Narrative text merupakan salah satu bentuk teks cerita, dan cerita yang.

Posting Komentar untuk "Contoh Narrative Text Singkat Dalam Kehidupan Sehari Hari : Kumpulan Contoh Narrative Text For Android Apk Download / Hari ini kita memiliki satu contoh teks naratif dalam bentuk legenda."